事业领域
纤维/贸易
重工业/建设
工业材料
化学
信息通讯
其它
晓星简介
概要
沿革
HYOSUNG WAY
全球网
世界一流产品
研发
联系我们
可持续经营
分享经营
生态经营
道德经营
投资信息
经营信息
财务信息
股票信息
IR信息
年度报告书
宣传中心
晓星新闻
宣传视频
晓星宣传册
您当前位置:
首页
>
宣传中心
>
晓星新闻
晓星新闻
gongsixinwen
概要
沿革
HYOSUNG WAY
全球网
世界一流产品
研发
联系我们
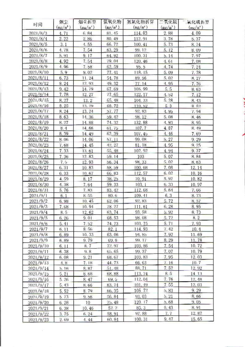
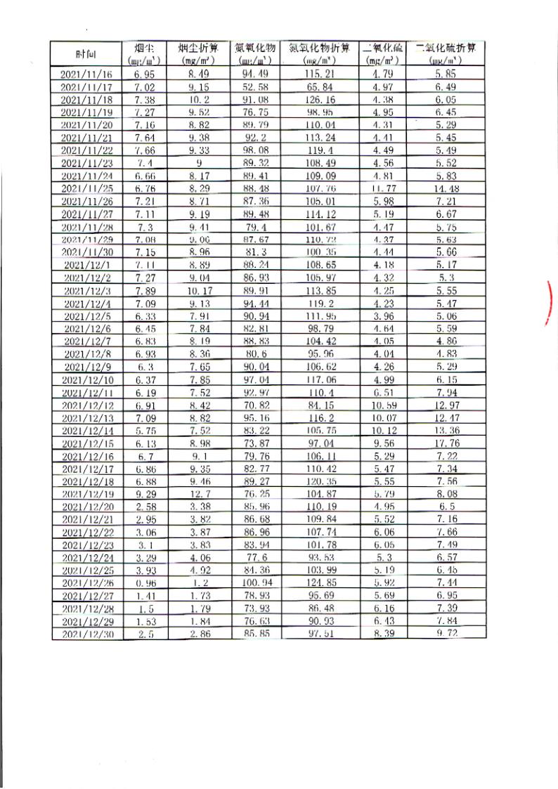
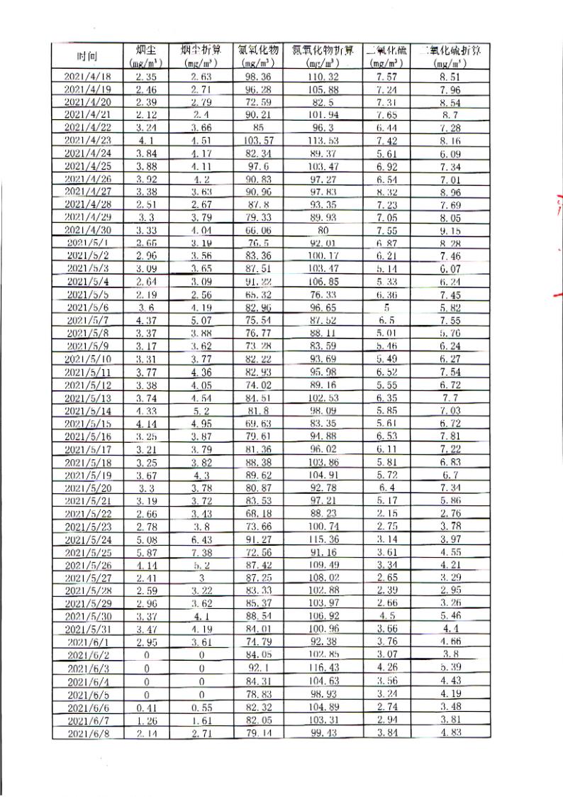
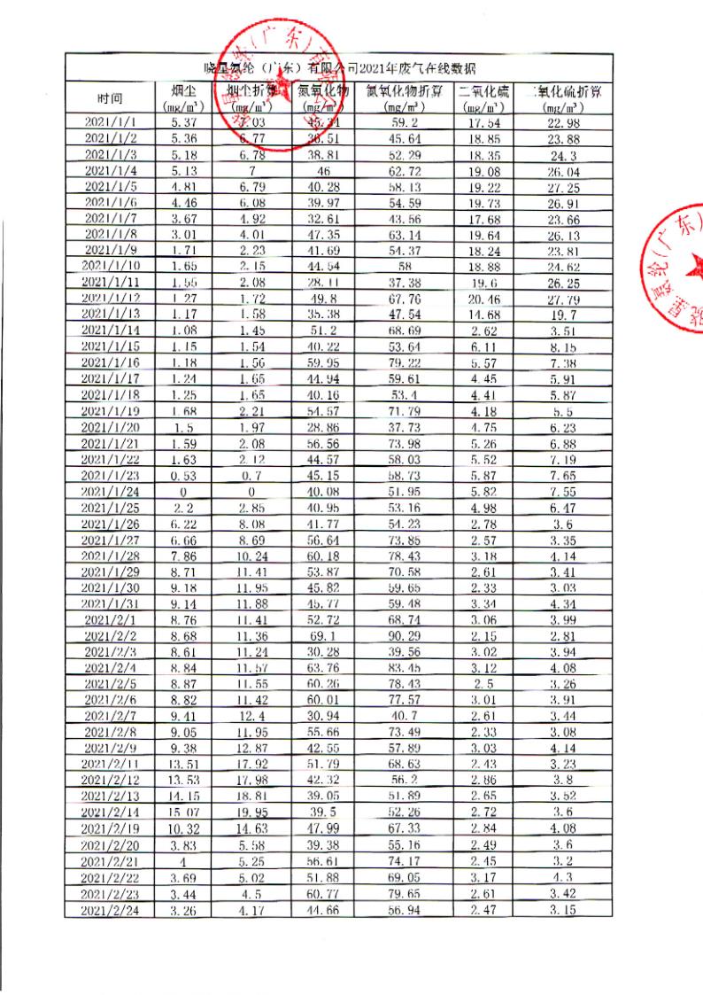
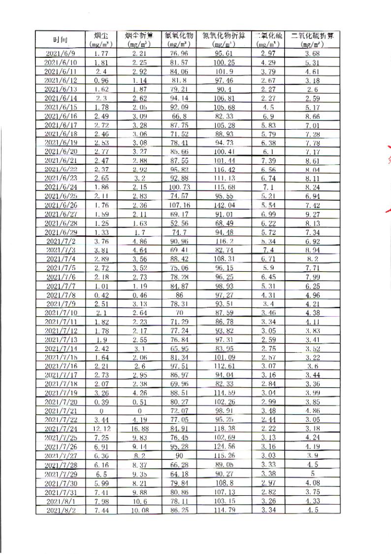
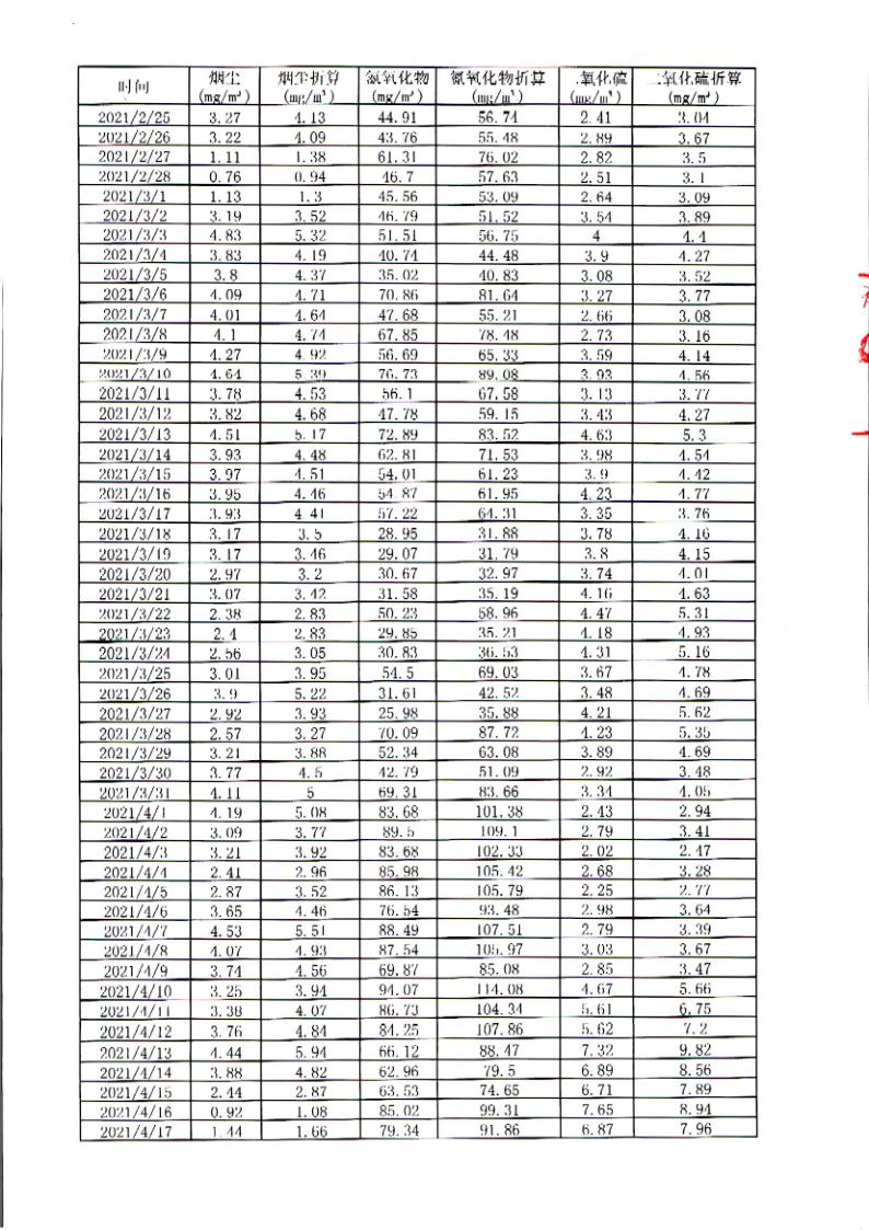
晓星氨纶(广东)有限公司2021年废气在线数据公开信息
时间:2022-02-17 15:57:29 点击:次
上一篇:
2020年晓星氨纶(广东)有限公司固体废物公开信息
下一篇:
晓星氨纶(广东)有限公司2021年废水在线数据公开信息