晓星氨纶(广东)有限公司2021年固体废弃物污染环境防治信息
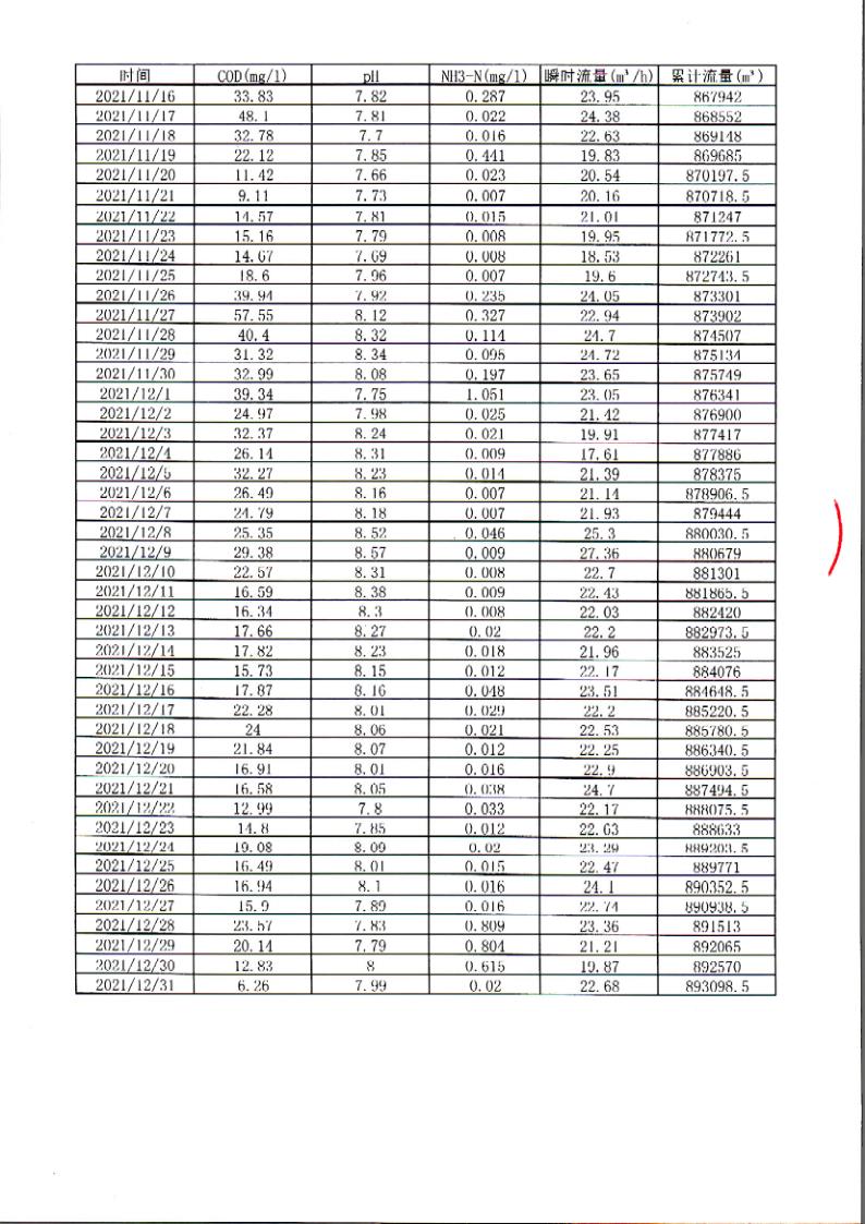
晓星氨纶(广东)有限公司2021年废水在线数据公开信息
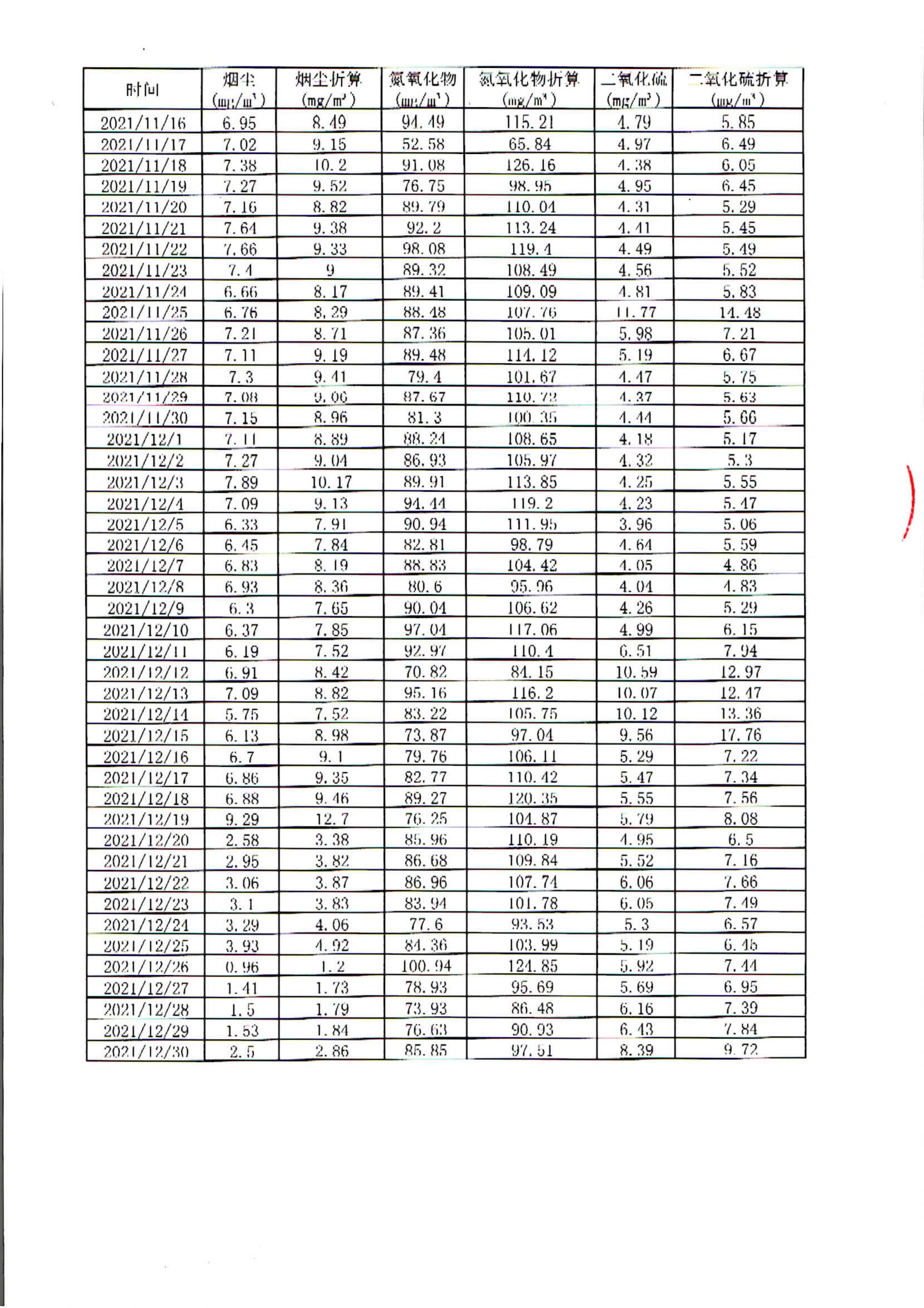
晓星氨纶(广东)有限公司2021年废气在线数据公开信息
根据珠海市生态环境局下发的文件《珠海市生态环境局关于印发珠海市重点排污单位自...
晓星氨纶(广东)有限公司资源综合利用配套项目环境影响评价公众参与公告(第一次) 环境影响评价公众参与...
整改完成报告